2026年度入試 広島大学 数学(理系)解答速報|【長井ゼミハンス】進学塾なら、広島での確かな合格実績を誇る総合進学塾

校舎ボタン

2026年度入試 広島大学 数学(理系)解答速報

長井ゼミハンスでは、 2026年度入試 広大 数学(理系)入試問題の解答速報を作成いたしました。 復習や今後の学習の参考として、ぜひご活用ください。

\ 数学の解答速報はこちら /

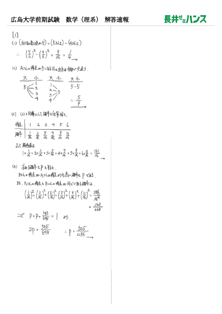
第1問

第2問

広大入試第2問解答

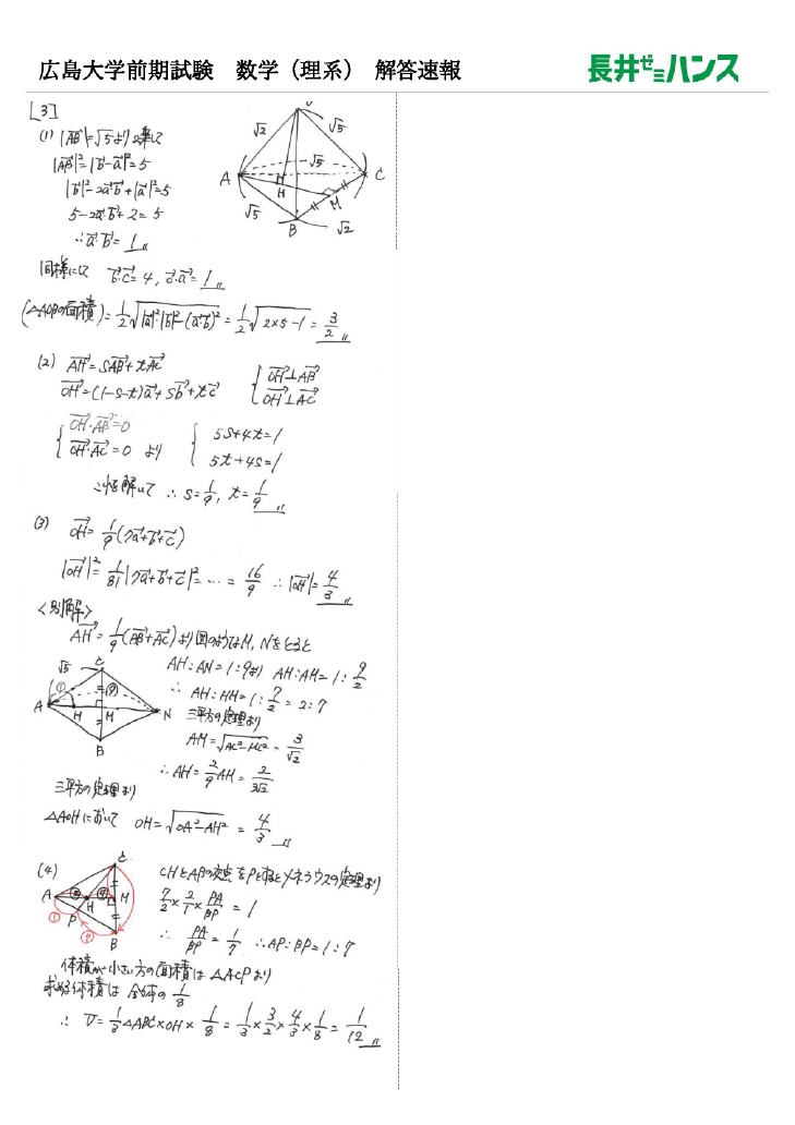
第3問

広大入試第3問解答

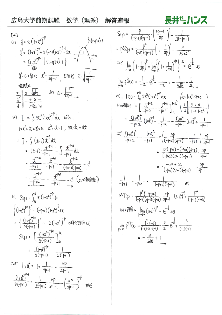
第4問

広大入試第4問解答

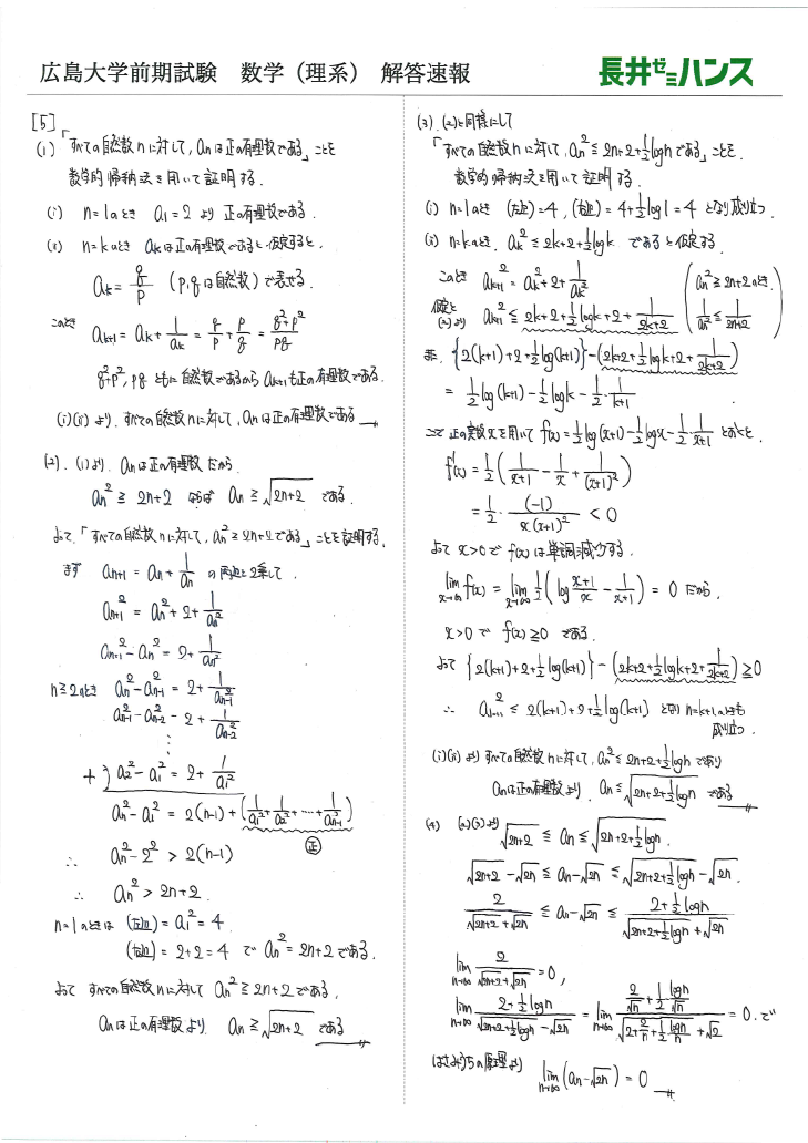
第5問

広大入試第5問解答
資料請求 お問合せ 無料体験 入塾希望 上部へ戻る

上部へ戻る